Ngày 22/10/2025, Sở Giáo dục & Đào tạo (Sở GD&ĐT) Tp.Hồ Chí Minh đã công bố đề mẫu 3 môn Toán, Ngữ văn, Tiếng Anh thi lớp 10 Tp. Hồ Chí Minh năm học 2026 - 2027. Đây là năm đầu tiên thi lớp 10 sau sáp nhập Tp. Hồ Chí Minh, Bình Dương, Bà Rịa Vũng Tàu với số lượng thí sinh rất lớn.
Theo đó, ở môn Ngữ văn, cấu trúc đề thi gồm 2 phần. Phần 1 (5 điểm) gồm câu hỏi đọc hiểu văn bản (3 điểm) và câu hỏi viết đoạn văn (2 điểm).
Phần 2 (5 điểm) gồm 2 câu hỏi: Đọc hiểu văn bản nghị luận hoặc văn bản thông tin (1 điểm) và viết bài văn nghị luận xã hội (4 điểm).
Năm nay, các câu hỏi đọc hiểu văn bản tiếp tục sử dụng ngữ liệu ngoài sách giáo khoa với tổng độ dài các ngữ liệu trong đề thi không quá 1.300 chữ.
Đối với câu hỏi viết đoạn văn, thí sinh được yêu cầu viết đoạn văn khoảng 200 chữ với một trong hai nội dung sau: Viết đoạn văn ghi lại cảm nghĩ về một bài thơ hoặc một đoạn thơ; viết đoạn văn phân tích nội dung chủ đề, những nét đặc sắc về hình thức nghệ thuật của tác phẩm và hiệu quả thẩm mĩ của các hình thức nghệ thuật đó.
Đối với câu hỏi viết bài văn, đề thi chọn một trong hai yêu cầu sau: Viết bài văn nghị luận về một vấn đề của đời sống, trình bày rõ vấn đề và ý kiến (đồng tình hay phản đối) của người viết về vấn đề đó; nêu được lý lẽ và bằng chứng thuyết phục; viết bài văn nghị luận về một vấn đề cần giải quyết; trình bày giải pháp khả thi và có sức thuyết phục.
Sở GD&ĐT Tp. Hồ Chí Minh lưu ý, đề thi được xây dựng theo định hướng tích hợp giữa đánh giá năng lực đọc hiểu và năng lực viết, nội dung trong phần viết có liên quan đến văn bản ở phần đọc hiểu.
Đề thi có tỉ lệ 20% yêu cầu nhận biết, 40% thông hiểu và 40% câu hỏi vận dụng.


Đối với môn Toán, đề thi gồm các mạch kiến thức: Hình học và đo lường; số và đại số; thống kê và xác suất.
Nội dung kiểm tra nhằm đánh giá các năng lực toán học của học sinh gồm: Năng lực tư duy và lập luận toán học, năng lực giải quyết vấn đề toán học, năng lực mô hình hoá toán học.
Học sinh cần có khả năng vận dụng kiến thức đã học giải quyết các vấn đề thực tế; khuyến khích tăng cường việc tự học, sáng tạo, tránh tình trạng học tủ, học vẹt.
Cấu trúc đề thi môn Toán gồm 7 bài:
- Bài 1 (1,5 điểm): Vẽ đồ thị hàm số và tìm những điểm thoả điều kiện cho trước.
- Bài 2 (1 điểm): Tìm điều kiện có nghiệm của phương trình; vận dụng hệ thức Viete tính giá trị biểu thức liên quan đến các nghiệm.
- Bài 3 (1,5 điểm): Dạng toán thực tế liên quan đến xác suất, thống kê.
- Bài 4 (1 điểm): Viết biểu thức biểu diễn theo một đại lượng nào đó trong bài toán thực tế; tìm giá trị của đại lượng để biểu thức thỏa điều kiện cho trước.
- Bài 5 (1 điểm): Dạng toán thực tế liên quan đến hình học.
- Bài 6 (1 điểm): Dạng toán thực tế liên quan đến phương trình, bất phương trình,hệ phương trình bậc nhất hai ẩn.
- Bài 7 (3 điểm): Bài toán hình học phẳng gồm 3 câu hỏi nhỏ.
Đề thi môn Toán có tỉ lệ 30% câu hỏi nhận biết, 40% thông hiểu và 30% vận dụng.


Ở môn tiếng Anh, cấu trúc đề thi gồm:
- Phần 1 (1 điểm): Ngữ âm (từ câu 1 đến câu 4)
- Phần 2 (3 điểm): Từ vựng, ngữ pháp, giao tiếp (từ câu 5 đến câu 16)
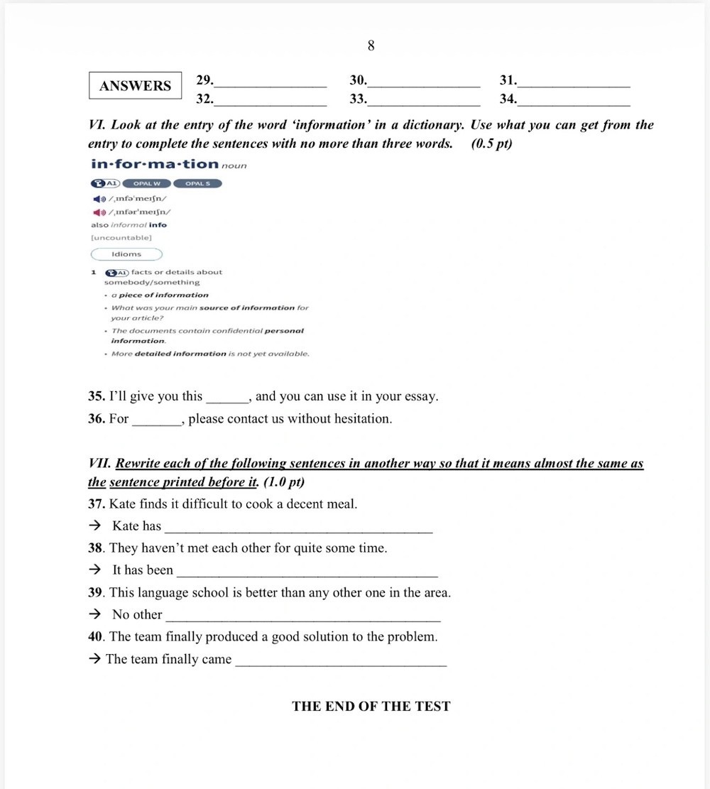
- Phần 3 (4 điểm): Viết (viết dạng đúng của từ gồm các câu hỏi từ câu 29 đến câu 34; viết cụm từ phù hợp theo thông tin cho sẵn gồm câu 35, 36; viết câu gồm câu 37, 38, 39, 40)
- Phần 4 (3 điểm): Đọc hiểu (đọc và điền từ gồm câu hỏi từ câu 17 đến câu 22; đọc hiểu trả lời câu hỏi từ câu 23 đến câu 28).
Sở GD&ĐT Tp. Hồ Chí Minh lưu ý, năm nay đề thi có 2 câu hỏi mới về viết cụm từ phù hợp theo thông tin cho sẵn. Câu hỏi này kiểm tra khả năng đọc chú thích trong tự điển để tìm kiếm thông tin ngôn ngữ và vận dụng kiến thức của học sinh.
Đề thi môn tiếng Anh có 20% câu hỏi nhận biết, 40% thông hiểu và 40% vận dụng.



